学习是一件非常困难的事情。首先是工作本身已经很累了,然后是一些客观的家里的事情会消耗你的时间,再然后是新知识本身的难度,面对一堆看不懂的公式,再掂量一下自己有限的智商,不学习貌似日子还是可以继续过下去,那我为什么还要学习呢?夜深人静的时候,媳妇已经睡下,想到自己人生将半,学习计划还是得坚持下去:夜来欹枕细思量,独卧残灯漏夜长; 名不显时心不朽,再挑灯火夜读书。
路虽远行则将至。
北交 · 图像处理与机器学习
“数字图像处理”主要包括图像增强、形态学处理、图像分割等。
“机器学习”部分主要包括贝叶斯决策、人工神经网络以及深度学习导论。
P1 0 绪论授课视频 09:45
P2 1-1 基本概念授课视频 06:28
P3 1-2 基本概念(续)授课视频 08:56
P4 1-3 图像直方图授课视频 08:10
P5 课程实验平台介绍视频 03:46
P6 实验环境安装配置,请务必观看! 07:51
P7 实验一图像显示~1 08:21
P8 实验二图像直方图视频 04:23
P9 2.1 引言 07:32
P10 2.2 灰度变换授课视频 08:46
P11 直方图均衡授课视频 14:07
已完成。
P12 2-4 代数运算授课视频 04:27
P13 2-5 空间域滤波授课视频 11:15
P14 2-6 空间域滤波中值滤波 04:52
P15 2-7 空间域滤波高通 10:08
P16 2.8 二维傅里叶变换定义授课视频 05:24
P17 2.9 二维傅里叶变换性质授课视频 07:17
P18 2.10 频域滤波低通授课视频 14:52
note
巴特沃斯(Butterworth)滤波器
1 阶巴特沃斯没有“振铃“,随着阶数增大,振铃现象越发明显。下图取 n=2, 可以看出空域函数外围部分出现震荡。
高斯滤波器的过度特性非常平坦,因此不会产生振铃现象。
P19 2.11 频域滤波高通授课视频 05:37
P20 2.12 频域滤波同态滤波授课视频 09:27
同态滤波实现图像去雾。
消除不均匀照度的影响而又不损失图象细节。
同态滤波是把频率过滤和灰度变换结合起来的一种图像处理方法,它依靠图像的照度 / 反射率模型作为频域处理的基础,利用压缩亮度范围和增强对比度来改善图像的质量。使用这种方法可以使图像处理符合人眼对于亮度响应的非线性特性,避免了直接对图像进行傅立叶变换处理的失真。
基于 Retinex 滤波。基于迭代多尺度引导滤波 Retinex 的低照度图像增强。
颜色
颜色 
RGB(显示器)
因为 RGB 模型中与『负光』混合所带来的种种问题,CIE 从数学上定义了三种标准基色 XYZ(是理论上的颜色,而非实际的颜色),形成了『CIE XYZ 颜色模型』。
XYZ 颜色模型
CMYK(印刷)
Lab & YUV(YCbCr 现代彩色电视)
HSI(人的视觉系统)、HSV
颜色建模的发展历程:
- 基于人眼视觉感知三原色理论,CIE 通过大量实验数据建立了 RGB 颜色模型,标准化了 RGB 表示。
- 为了解决 RGB 模型中与负光混合所带来的种种问题,CIE 从数学上定义了三种标准基色 XYZ,形成了 CIE XYZ 颜色模型。
- 在模拟电视时代,RGB 工业显示器要求一幅彩色图像由分开的 R、G、B 信号组成,而电视显示器则需要混合信号输入,为了实现对这两种标准的兼容,NTSC 基于 XYZ 模型制定了 YIQ 颜色模型,实现了彩色电视和黑白电视的信号兼容。
- 为了解决 NTSC YIQ 的组合模拟视频信号中分配给色度信息的带宽较低,而影响了图像颜色质量的问题,PAL 引入了 YUV 颜色模型,支持用不同的采样格式来调整传输的色度信息量。
- 进入数字电视时代,ITU-R 为数字视频转换制定了 YCbCr 颜色模型,成为我们现在最常使用的颜色模型。
在早年 CRT 显示器流行的年代,我们遇到了显示伽马问题,从而引入了伽马校正过程并延用至今。
P21 实验三直方图均衡 05:18
P22 实验平台介绍 03:47
P23 实验平台设置 08:20
看完了。
P24 实验四均值高斯低通滤波视频 05:16
P25 实验五中值滤波视频 03:53
P26 3.1 形态学基本概念视频 04:57
P27 3.2 形态学处理算法 11:09
P28 3.3 图像形态学处理应用视频 05:43
P29 实验七图像形态学处理 07:00
P30 4.1 图像分割引言 06:00
P31 4.2 基于阈值的分割算法 10:30
P32 4.3 基于边缘的分割算法 05:01
P33 4.4 霍夫变换 07:31
P34 4.5 基于区域的分割算法 08:28
基于区域的分割算法。4 叉树,根据方差递归回溯合并。
note
分裂与合并是一种区域分割方式,将图像划分成不相交的区域,以某一检测准则从四叉树数据结构的任一层开始,对区域进行分裂或合并。并逐步改善区域划分的性能,直到最后将图像分成数量最小的均匀区域为止。
P35 5.1 人工智能简介 09:43
Alpha Go,基于深度神经网络、强化学习和蒙特卡洛树搜索。
Alpha Go/Zero 系统是一个伟大的工程作品,由多种方法混合组装而成。其中的核心组件是:
- 蒙特卡洛树搜索(用于树遍历的 PUCT 函数的一个变种)。
- 残差卷积 神经网络 —— 用于博弈评估和行动先验概率估算的策略和估值网络。
- 强化学习 —— 用于通过自我对弈来训练网络。
P36 5.2 机器学习引言 10:21
P37 5.3 贝叶斯公式 05:57
P38 5.4 贝叶斯决策–最小错误率决策 03:25
这里看完了。
P39 5.5 贝叶斯决策–最小风险决策 08:26
似然比
likelihood ratio, LR
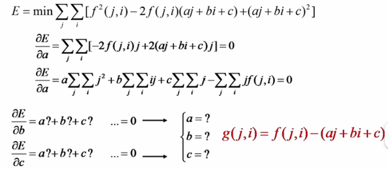
P40 5.6 判别函数(上) 11:20
判别函数
特征空间
决策面
贝叶斯理论并用贝叶斯的思想解释了线性回归器和分类器。
线性分类器
Linear Discriminant Function (LDF)
P41 5.7 判别函数(下) 06:36
非线性分类器
Quadratic Discriminant Function (QDF)
P42 5.8 概率密度估计–参数法 07:49
概率是已知参数,对结果可能性的预测。似然是已知结果,对参数是某个值的可能性预测。
区别 
- 极大似然估计(MLE,Maximum Likelihood Estimation)
- 极大似然估计,就是利用已知的样本结果,反推最有可能(最大概率)导致这样结果的参数值(模型已知,参数未知)。
- 贝叶斯估计(BE,Bayesian Estimation)
- 参数未知且不确定,因此作为随机变量,参数本身也是一个分布,同时,根据已有的信息可以得到参数 θ 的先验概率,根据先验概率来推断 θ 的后验概率。
note
极大似然估计(MLE)、贝叶斯估计、最大后验概率估计(MAP)
极大似然估计(Maximum likelihood estimation, 简称 MLE)和
最大后验概率估计(Maximum aposteriori estimation, 简称 MAP)是很常用的两种参数估计方法。
P43 5.9 概率密度估计–非参数法 09:33
- Parzen window / Parzen 窗估计
- K-nearest Neighbor / k 最近邻估计
P44 6.1 人工神经网络引言 09:28
P45 6.2 单层神经网络 06:02
P46 6.3 多层神经网络 08:53
P47 7.1 引言 08:21
P48 7.2 卷积神经网络 13:36
1998, LeNet
P49 7.3 深度学习网络 19:22
Caffe
TensorFlow
Theono
- 2008 年诞生于蒙特利尔工学院(Yoshua Bengio),Python 编写
- www.deeplearning.net/software/theano/
Torch, PyTorch
- Torch: 历史悠久的机器学习综合平台,Lua 编写,torch.ch
- PyTorch: In Python.
MxNet
- 民间项目开发,C++ 编写,内存使用效率高,分布式计算能力强。
- mxnet.apache.org/
note
Deep learning is more vulnerable to adversarial examples than other kind of machine leaning due to the extreme non-linearity of deep models.
Deep learning is more vulnerable to adversarial examples than other kind of machine learning.
当前深度学习的不足
- 学习能力
- 需要 大量标记样本进行监督学习
- 人类:无监督、小样本、在线自适应
- 解释能力
- 鲁棒性
- 综合信息处理能力
P50 8.1 聚类算法 19:02
P51 8.2 主成份分析(上) 08:18
P52 8.3 主成份分析(下) 05:34
P53 9.1.1 复杂背景下的人脸检测算法预处理 07:26
三种方法:
Preprocessing
- Illumination gradient correction – 这里有点意思。
- Histogram equalization
- Masking…
P54 9.1.2 复杂背景下的人脸检测算法特征提取 06:01
- Gray levels 灰度级
- Gradient features 梯度
- Gabor features 边缘特征
- Harr features 小波
P55 9.1.3 复杂背景下的人脸检测算法分类器设计 07:03
P56 9.2 基于深度学习的车辆检测算法 09:08
- 两级网络
- 候选框生成网络(RPN)+ 检测识别网络
- 网络结构较复杂,检测精度高,检测速度慢
- 单级网络
- 同时预测物体选框和类别
- 网络结构较简单,精度稍低,检测速度快。
P57 大作业(上)车牌检测与字符分割 08:29
P58 车牌检测与字符分割演示视频 01:07
P59 大作业(下)车牌字符识别 02:32
分类器
P60 实验平台搭建设置 07:51
toolbox
参考资料快照