机器学习 -- 卡尔曼滤波(Kalman filtering)

草履虫都能看懂的 卡尔曼滤波

卡尔曼滤波(Kalman filtering)一种利用线性系统状态方程,通过系统输入输出观测数据,对系统状态进行最优估计的算法。 由于观测数据中包括系统中的噪声和干扰的影响,所以最优估计也可看作是滤波过程。

原理

卡尔曼滤波器是一种基础预测定位算法。原理非常简单易懂。核心过程可以用一个图说明:

本质上就是这两个状态过程的迭代,来逐步的准确定位。

预测:当前状态环境下,对下一个时间段 t 的位置估计计算的值。

更新:更具传感器获取到比较准确的位置信息后来更新当前的预测问位置,也就是纠正预测的错误。

你可能要问为什么有传感器的数据了还要进行更新?因为在现实世界中传感器是存在很多噪声干扰的,所以也不能完全相信传感器数据。卡尔曼算法依赖于线性计算,高斯分布,我们以一维定位来介绍算法的实现。

接下来我们开更新,预测后我们获取到传感器数据,表示目前传感器发现小车的位置应该是在 26 这个位置,在这种情况下,我们肯定是觉得传感器的准确度比我之前的预测瞎猜要来的准确。

所以方差自然会比较小,最终我们觉得真是的小车位置应该是更靠近传感器数据的,而且方差会缩小,以至于,想想也很清楚,我猜了一个预测值,现在有个专家告诉了我相对比较靠谱的数据,那我对小车的位置的自信度肯定会上升啊。

最终小车的位置经过这个时间段 t 的更新就是下图红色的高斯图:

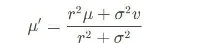
一维模型下的 Kalman 公式:

预测

更新

参考代码

#include <iostream>
#include <math.h>
#include <tuple>

using namespace std;

double new_mean, new_var;

tuple<double, double> measurement_update(double mean1, double var1, double mean2, double var2)
{
    new_mean = (var2 * mean1 + var1 * mean2) / (var1 + var2);
    new_var = 1 / (1 / var1 + 1 / var2);
    return make_tuple(new_mean, new_var);
}

tuple<double, double> state_prediction(double mean1, double var1, double mean2, double var2)
{
    new_mean = mean1 + mean2;
    new_var = var1 + var2;
    return make_tuple(new_mean, new_var);
}

int main()
{
    //Measurements and measurement variance
    double measurements[5] = { 5, 6, 7, 9, 10 };
    double measurement_sig = 4;

    //Motions and motion variance
    double motion[5] = { 1, 1, 2, 1, 1 };
    double motion_sig = 2;

    //Initial state
    double mu = 0;
    double sig = 1000;

    for (int i = 0; i < sizeof(measurements) / sizeof(measurements[0]); i++) {
        tie(mu, sig) = measurement_update(mu, sig, measurements[i], measurement_sig);
        printf("update:  [%f, %f]\n", mu, sig);
        tie(mu, sig) = state_prediction(mu, sig, motion[i], motion_sig);
        printf("predict: [%f, %f]\n", mu, sig);
    }

    return 0;
}

refs


参考资料快照
参考资料快照

本文短链接:
If you have any questions or feedback, please reach out .