机器学习 -- Deep Dive Into OCR for Receipt Recognition

No matter what you choose, an LSTM or another complex method, there is no silver bullet. Some methods are hard to use and not always useful.

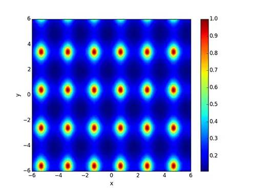
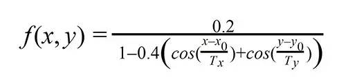
二维周期函数来调整网格识别:

为此,我们使用了 OCRopus 库来进行识别。

  1. Tesseract Tesseract 是 Google 开发的 OCR 引擎,支持多种语言的文本识别,包括英语、中文、日语等。该引擎基于 LSTM 模型,具有高精度和良好的可扩展性,是目前最流行的 OCR 引擎之一。
  2. OCRopus OCRopus 是一款基于 Python 的 OCR 引擎,支持多种语言的文本识别,包括中文、日语、韩语等。该引擎具有高精度和良好的可扩展性,可以轻松地集成到不同的应用中。

OCR 识别开源项目对比

OCR 技术路线图总体上可分为五步:

图像预处理、切割字符、识别字符、恢复版面、后处理文字。

图像非均匀分割技术 LSTM 网络 No matter what you choose, an LSTM or another complex method, there is no silver bullet. Some methods are hard to use and not always useful.

refs

Deep Dive Into OCR for Receipt Recognition https://mp.weixin.qq.com/s/24hJjWnlh4rHotb6YZb1MQ 原文链接:https://dzone.com/articles/using-ocr-for-receipt-recognition 原文作者:Ivan Ozhiganov


参考资料快照
参考资料快照

本文短链接:
If you have any questions or feedback, please reach out .