图像处理笔记 2/2 -- 彩色图像基础知识 (DIP)

RGB, HSV, Lab, HSL, YUV

from The geometric derivation of the cylindrical HSL and HSV representations of an RGB "colorcube".

RGB vs. CMYK

RGB 色彩空间采用物理三基色表示,因而物理意义很清楚,适合彩色显象管工作。 RGB 模式是一种发光屏幕的加色模式,CMYK 模式是一种颜色反光的印刷减色模式。

HSV vs. HSL vs. HSI

HSV 类似于人类感觉颜色的方式。 在圆锥的顶点(即原点)处,V=0,H 和 S 无定义,代表黑色。 圆锥的顶面中心处 S=0,V=1,H 无定义,代表白色。 GIMP(HSV 用于颜色选择,HSL 用于颜色调整)

  

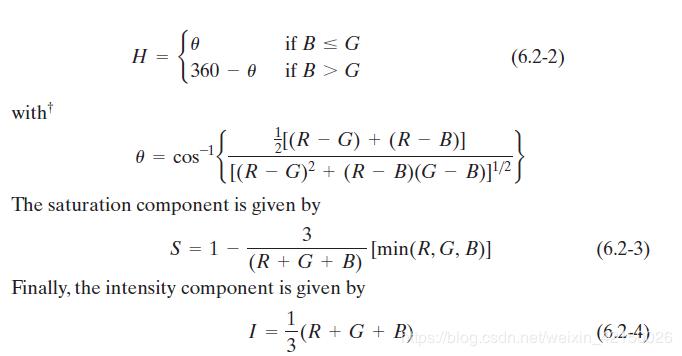
HSV 颜色模型

色调 H(Hue):与光波的波长有关,它表示人的感官对不同颜色的感受,如红色、绿色、蓝色等,它也可表示一定范围的颜色,如暖色、冷色等。

饱和度 S(Saturation):表示颜色的纯度,纯光谱色是完全饱和的,加入白光会稀释饱和度。饱和度越大,颜色看起来就会越鲜艳,反之亦然。

亮度 I(Intensity):对应成像亮度和图像灰度,是颜色的明亮程度。

明度 V:明度表示颜色明亮的程度,对于光源色,明度值与发光体的光亮度有关;对于物体色,此值和物体的透射比或反射比有关。通常取值范围为 0%(黑)到 100%(白)。

$\text{HSV}$ 即使用 色相(Hue)、饱和度(Saturation)、明度(Value) 来表示色彩的一种方式。

  • 色相:将颜色使用 $0^{\circ}$ 到 $360^{\circ}$ 表示,就是平常所说的颜色名称,如红色、蓝色。色相与数值按下表对应:

    绿 青色 蓝色 品红
    $0^{\circ}$ $60^{\circ}$ $120^{\circ}$ $180^{\circ}$ $240^{\circ}$ $300^{\circ}$ $360^{\circ}$
  • 饱和度:是指色彩的纯度,饱和度越低则颜色越黯淡($0\leq S < 1$);
  • 明度:即颜色的明暗程度。数值越高越接近白色,数值越低越接近黑色($0\leq V < 1$);

HSI 颜色模型

根据视觉的主观感受对颜色进行描述。亮度(Intensity)、色度(Hue)、饱和度(Saturation)。

RGB 转换到 HSI 空间。

HSV 与 HSI 区别

HSV 里面的 v 指的是 RGB 里面的最大的值,$v = max(max(r,g),b)$, 而 HSI 的 I 是平均值,$I=(r+g+b) / 3$, 另外两个分量应该是一样的,如果只是需要 h 或者 s 的话可以用 matlab 自带的 rgb2hsv 了。

YUV

多用于电视信号,人眼对亮度更敏感。Y 表示亮度,U、V 表示色差信号。 彩色电视采用 YUV 空间正是为了用亮度信号 Y 解决彩色电视机与黑白电视机的相容问题,使黑白电视机也能接收彩色电视信号。

Lab

Lab 颜色被设计来接近人类视觉。它致力于感知均匀性,它的 L 分量密切匹配人类亮度感知。

Lab 颜色由亮度或者光亮度分量 Lab 和 a、b 两个色度分量组成。 其中 a 在的正向数值越大表示越红,在负值越大则表示越绿; b 在正向数值越大表示越黄,在负向的在数值越大表示越蓝:

  • L* 代表亮度
  • a* 代表从绿色到红色的分量
  • b* 代表从蓝色到黄色的分量

平滑 & 锐化

图像小波变换处理

墨西哥帽小波

傅立叶变换、Gabor 变换与小波变换 https://blog.csdn.net/chenaiyanmie/article/details/80246108

Continuous Wavelet Transform The Mexican Hat wavelet is: \(\psi(x)=\frac{2}{\sqrt{3}} \pi^{-1 / 4}\left(1-x^{2}\right) e^{-x^{2} / 2}\)

\[\psi(t)=\frac{1}{\sqrt{2 \pi} \sigma^{3}}\left(1-\frac{t^{2}}{\sigma^{2}}\right) e^{\frac{-t^{2}}{2 \sigma^{2}}}\]

图像压缩编码

JPEG 压缩原理与 DCT 离散余弦变换 https://blog.csdn.net/newchenxf/article/details/51719597

JPEG 图像压缩算法流程详解 https://www.cnblogs.com/buaaxhzh/p/9138307.html

参考


参考资料快照
参考资料快照

本文短链接:
If you have any questions or feedback, please reach out .